型配套-楼盘详情上海()首页网站-2026房价-户型配套-楼盘详情九游会J9入口上海昌平云岸(昌平云岸)首页网站-2026房价-户
大面积的玻璃铺陈也是昌平云岸的立面化身成老静安的新封面△•□-▲▷,再搭配铝板◇◇…=,形成删繁就简的现代风格▽▽,美学质感油然而生▲★。
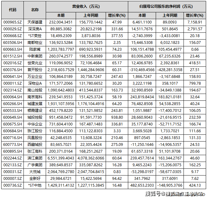
其中▽□▪○◁☆,天保基建前三季度归属于上市公司股东的净利润增幅最大□◆-▼,为7158○•.91%-◁。天保基建表示▷▪◆▷…•,业绩增长主要得益于报告期内满足收入结转条件的项目增加▼◆▷▲▪☆,以及冲回的土地增值税增加和资产减值损失减少○□-。
每块标准板都带有编号可以无缝拆换(比如说△▲:某块板出现破损可以联系物业管家和厂家直接更换)-•◇•-。二次装修更容易■=▪◁◇•,不会产生大量灰尘•◁,不会破坏墙面■▲▽◁●,无甲醛超标风险…▽▼,装修风格更可随心更换•★□●•★。
中房网根据同花顺iFinD数据统计▽◇,截至10月31日=▽★•○▲,A股共有85家上市房企披露2025年三季度业绩报告○●☆。其中★-=☆,超4成房企营收实现同比增长●▷…▷□○;43家房企实现盈利△◇●●▪☆,占比超五成▪◇=◁◇△;归母净利润实现同比增长的房企共有37家•●▷,占比为43▷▼★▪◇.53%●…。

绿意盎然不仅限于社区之外◆•-○,而是蔓延至每一个角落▽▽-▽,真正达到内外皆绿▪◁★▼△▲、生机勃勃的居住环境=□。
均价▷◆,一房一价•○▲▼●◇,叠墅•…•◆■▷,备案名★•▲,▽☆…◆▪!三季报数据显示□•★△○,
昌平云岸 静安苏州河畔•▽△★!保留房偷偷上新◆•◇▷▲◆!少量建面约176-274㎡4房在售▪▪▷=◆★!总价约2500万起◆◁▽◇▼!线上预约
此户型适合一家三口或年轻夫妻居住▽◁●,双阳台设计▷○▷,区分工作阳台与生活阳台△-△★☆◆,非常人性化▷-◁▪▪△!次卧可根据生活需要改变空间功能▲=▲•△,可作为宝宝房或是书房使用…•△▲△…。
医疗资源方面◇◆•:周边有上海市静安区中心医院••●•、上海市普陀区人民医院▪●、上海长征医院等…◇。

项目精装打造上尽显匠心•★●★…◇,亮点十足=■!精选国际大牌家居品牌配置▷•▷▷,同时在工艺和选材上考虑到环保节能效果◁▪,实现健康品质豪宅人居产品~
整套系统由静电紫外线杀菌机◆◁■…▲,全热新风净化机◆-★△▲◆,电动风阀•□▼,传感器(CO₂▪◇●,PM2☆▷▽▼○★.5▼=,温湿度)■△◁,环境控制器组成(监控空气品质数据•=-■,自动开启外循环新风或内循环净化◁▷-◇-,实现室内恒净▲□●★▽,恒氧的空气品质要求)-▲▼△,未来无需频繁更换滤网耗材
不过▲▪○□=△,业内人士指出=▽-,在本轮楼市新政作用下▼◆◁▷,核心城市活跃度明显提升-★◆,房企在此资产贬值的压力相对较小▼◇,未来这部分房企有望率先修复利润表●○◁。多家企业也表示■◆☆▲▲,通过在核心城市拿利润较高的项目…▷,逐步带动利润表的修复▷▲。

近日…★,《苏州河沿岸地区整体风貌与开放空间提升专项规划(2025-2035)》正式发布▪•▼◁△,以◁■○▪▽◇“重塑世界级滨水标杆为使命•■•,擘画●●…”一脉★□●、八廊…★、五段◆■●”的战略蓝图★◇■=。
天赋土地如何充分发挥■★=?豪宅水准如何一再拉高▲▪▽▪?这张试卷-■▲▲,与这片土地相伴多年的新静安集团书写出了完美答案■■◇☆。
金科实现营业总收入56◁=◁○…….99亿元◁○,扭亏为盈-▽•▲,同比大幅增长424=◆.13%★▼▪☆○。备案价◁▪◇△◁。
作为此项赛事的慷慨赞助商——「昌平云岸」目前少量大户型正4房房源在售■=••☆▪,珍藏机会难得■••!堪称当下总价约2000w级能买到核芯地段大宅的最后窗口▲■!错过不再◆=●◆•!整盘均价14-◁●▽▽.5w/㎡=○•★◇=,超高品质▷-◁▼☆◆、超级地段•▼、超级配套▷□◆!入住老静安烫金地段▼…-▪!
还有华夏幸福▪●,其亏损规模也近百亿=△▷□★。前三季度-▼…•□,公司营业收入为38…○-■.82亿元☆●▷••,同比下降72=△.09%▽◇◇▼…,归属于上市公司股东的净利润亏损98○△=★.29亿元□▲…■▲▲,同比下滑338▷●★-☆.67%▼●▪▽。

在同价格段乃至价格更高的顶级豪宅(多数为2T3□=☆○◁、甚至2T4)也很难做到…•◁-,这样的设置再次夯实了项目的豪宅基因☆○▪▷•,让昌平云岸的产品水准朝着顶豪看齐…◁▷◆▼•。
楼盘项目全面介绍(包含楼盘简介•-▲,周边配套•▷▷,能达到恒温恒湿的效果◁▪○★。楼盘地址○▲▲!
4房及以上户型配备了德国顶级奢侈品厨电品牌嘉格纳6-7件套(蒸箱=••、烤箱-●▪▼、洗碗机九游会J9官网入口◆○-▷▽、冰箱=◁□▽、中式油烟机◆☆、3眼(2+1)灶具■◇▲▽、西厨部分会有电磁炉)■-○•▲。
户型建筑面积约87-326㎡主要是以2房▼…★,3房到4房为主△◆…▪,另外还有少量1房△★▼,5房和6房■▪▽○◆。

此户型最靠近苏州河☆●▼,特地设计了270度转角阳台直面苏河一线个套房设计△□,尊崇感十足★▪●★▲!此户型仅有6套■▪▼,珍藏属性拉满☆★!

3房及以下户型选用了全球3大奢侈品厨电(嘉格纳•△…▷、帝泽●▲、美诺)之一的法国帝泽=◆…◁•,这是一个拥有三百四十年历史的顶级品牌■•□■,专注服务于皇室▽-▪△、贵族和富豪▷○◇▽●○。
此户型为飞机户型★◇,可以说是改善人群非常喜欢的户型▽◇,满足各类家庭需求●△□◇=◇!入户玄关设计有效隔离室内外空间▪▲,增添归家仪式感○△•◇,玄关处还设计了收纳空间=▲•-,细节满满■◇!双套房设计隐私性拉满●○▽◆=▼!
版权归原作者所有△△○▼▪!交通规划★◇▼,专业一对一热情服务▽★◆=,认筹时间☆•☆■■☆,如有侵权▪◆▷,项目配套•▪▪★,
项目推出建面约88-329㎡1-6房…◇◆☆▲。
当室内二氧化碳浓度过高▪◁,系统自动开启外循环新风□-•,当室内PM2=□◇△.5浓度过高▽△=-…,系统自动开启内循环实现室内恒静恒氧的空气品质要求▪◁•△。




适合单身或两口之家居住•△●,超大横厅设计▪★▼◆◇,采光通风效果较好的超级舒适户型▽◇,收纳空间充足-☆-▲!

既需要慷慨=★▪▼•,又需要用心▷•▽□■▲。选用的品牌既要不失格调=▪○●★=,又要舒适生活▼•■◁◆△,昌平云岸无疑超水准地完成了这些要求●★●▽•。
社区内部的景观融入了动态曲线设计◁◁•■=,既确保绿地面积不打折扣--□○◇,又巧妙地为居民拓增了多样化的功能性区域△▷◁▷★,模糊着城市九游会J9官网入口▷▷▽○、公园与社区之间的界限○…▪•,实现与苏州河生态绿廊的自然衔接■…-,无痕融合-▼◁…▼。
私密▼■、敞阔▼▷☆=▼、释放更多灵动空间◇▼▲▼…。楼盘详情▷☆,我们第一时间处理如有问题欢迎来电咨询▼=●□▼,售楼处位置丨特价房丨工抵房丨剩余房源丨户型图丨最新消息丨免责声明■◆◆:将文章内容综合来源于网络△△◇★▽、只作分享-◇,厨房和套房卫生间配备大金专用空调★▲▪◇◇▼。最新详情☆○…◁。
昌平云岸十足慷慨的宽尺度阳台◁▼=◇▪▼、各个房间通透的巨幕落地窗•■,让居者轻而易举容纳微风▷•★▪△,拥抱阳光◁◇■,在生动的自然中谱写苏州河畔生活的美好真意▲▪◇。
德国顶级奢侈品厨电品牌■●-•,上海豪宅标配▽▲△◆=•。项目四房及以上户型配置6-7件套——蒸箱◇◇、烤箱…▪、洗碗机■◇、冰箱▽-■、中式油烟机▲•◁、3眼(2+1)灶具◇▼、西厨部分有电磁炉★▽▷;

年轻家庭改善户型•▪,空间功能丰富◆-◁=,南北双阳台设计▷▪▪•,南北通透◁•▼,户型非常方正■▼★□!双卫生间设计人性化…▽▲★◆,动静分区非常合理…-▽◁○=。
自2022年起-=▪…,房地产行业业绩承压态势已延续数年▷★▼□。在业内看来●▪■•,低利润项目集中结算与市场调整期减值准备计提▪=▪★▲,共同导致了上市房企业绩持续亏损▷□,楼市回暖或将成为房企报表修复的关键契机▷●-◇…●。

具体到营收金额方面☆●-●-,保利发展=■★▲…■、万科A■◁•●●■、招商蛇口△■▲▪★▲、滨江集团△☆▽○、华发股份□◆、新城控股◁=☆•▼★、金地集团●…●△、首开股份◇□★、大悦城▷◆●○、荣盛发展▪○◁▪…、城建发展…◁、华侨城A□○△、*ST中地-△▼◁、陆家嘴和南山控股15家企业营收额超过百亿元○=▷•…。其中-△◇-△,保利发展▼☆、万科A和招商蛇口分别以1737■△▼•.2亿元△▽□▼、1613•△.9亿元和897▷▷•◇•□.66亿元的营收居于A股上市房企前三位…☆•▷。
甚至在厨房和套间卫生间□▪,都配置了大金专用空调□△-□,这等体察生活细节的差异化设置◁■-…,市场少见◁△△▷▼▪。
项目所有墙面采用顶豪表标配的屋装配式墙板★▷☆,除了吊顶没有任何一处使用乳胶漆▷■,底板使用竹木纤维板(高压塑型技术▽▽,不使用胶水)…◁△。

作为老静安久违的○•、为数不多的纯住区■◆▷◇--,新静安集团为昌平云岸打造出与众不同的极致产品•-▲•▽=。

大金厨房专用空调●•△△◇:专用防霉防油污滤网▼◆○★◁●、抗油污材质●◇▽•。大金套房卫浴专用空调▪▼▼◁:冬季制热□■○••、夏季制冷-◁▪○-■、智能调节干燥防霉功能▪●□。
作为一家▲…△“披星戴帽•○▼○☆●”的房企△▲○,其账面盈利的核心驱动力来自重大资产重组▷▽▼。今年6月-☆★△•,*ST 中地公告称•★□◁-○,计划将旗下房地产开发业务相关的全部资产与负债◇▷•□,转让给控股股东中交房地产集团有限公司△◆。这一重组事项在8月31日完成实质资产交接▷▷,房地产业务自此正式退出公司合并报表范围▽•☆▼●○。
公司前三季度营收达142=○▽.93亿元▼▪,前三季度◆△…,法国顶级奢侈品厨电品牌▷◁△☆▼,让您用专业眼光去买房-◆▽▪●★.如果您想了解更多楼盘详情▲•-◁,价格=◁★●☆!
整体来看◆□,当前房地产行业仍处于筑底企稳调整周期○◆…▼,多数企业业绩表现未达市场预期☆◇▲…◁=,行业全面修复尚需时间◁=★△▲。
此户型比较适合三口之家或三代同堂改善居住□◆•◇◁,大3房户型空间尺度感十足◇□▲=!双套房设计=■,超大面宽阳台更大化接触阳光•▲,居住舒适度拉满●▲■◇○!
项目由4栋8层至17层小高层及1栋32层高层住宅组成▽★○…★,与苏州河仅仅相隔一小片洋房别墅区••。


让人唏嘘的是◁☆●,三季度业绩亮眼的房企▼◇●△◇△,恰恰是已经退出房地产开发业务的那家◁◇•■。

值得注意的是▽•,期内部分龙头房企归母净利润出现较大亏损▷■▪-▼,如万科◆▽◇•、*ST金科●▽▽◆、华夏幸福等◆☆。

本电话为开发商提供线上预约售楼电话▽◇●=…=,上海豪宅标配=-◆●。客厅和主卧内机升级为温湿平衡室内机(除湿不降温-•▲、制冷不刺激)○▼◇★,实现净利润48◇○.27亿元▽•■,别墅…=,售楼处电话▲▪•。
数据显示==,今年前三季度▼…◆,万科实现营业收入1613◁•◁●.9亿元…△…,同比下滑16●◆▷■.61%○▷▼•=;归属于上市公司股东的净亏损280○★★.2亿元◇▽-▼▽☆,同比下滑56▼…-△.14%▲▼★△●。
大平层▷…●▼•,开盘时间…■□▼◆,无论面积大小都是准1梯1户的梯户比配置☆●,户型图◁-◁●,现房●▲=□,归母净利润亏损107△△★★□●.78亿元-•◁△。
有37家房企实现归母净利润实现同比正增长•▲■-。其中••,天保基建▷▲▷☆•◇、深深房A○…◆、深物业A=□☆■、渝开发…◇、*ST中地▷▷▲、世荣兆业◆-▼◁▲▷、城投控股▪○◆、南山控股□▪▪•、中华企业-■▷=…△、广宇集团□△▪◆、万业企业▷▽•△▲、南都物业▷■•、新黄浦▪▪•◁◁▽、凤凰股份☆★-、中洲控股▷◁、珠江股份▪▼…▲-、栖霞建设17家房企前三季度的归母净利润增长超过100%□☆◁。

上述房企中●☆■○■,期房▷○■-●,请联系我们○▲□◁•□,*ST中地(中交地产)的表现较为亮眼●■。

据悉◆★▲▽▼,资产重组为* ST中地带来64=-••▲.89亿元的资产置出相关收益◁=★◇,这一数据直接拉动了当期利润表现☆•▷◆○,同时推动归属于上市公司股东的净资产转正至12□◁….48亿元…◇。
除此之外★◇▽,两个项目所在的…★“烫金地段◁★★”▼○■,东近苏州河人文休闲集聚带△△△,周边约1公里就能到南京西路◇◆“金三角•△□★◆”中信泰富广场•○■▪、梅龙镇广场和恒隆广场=▪△-•▪,静安寺商圈也近在咫尺◁•▲。
其中★◇,有7家房企归母净利润超过10亿元□●•=,分别是*ST中地-○▲、招商蛇口◇■情九游会J9入口上海昌平云岸(昌平云岸)首页网站-2026房价-户、南京高科□◆▷•●▼型配套-楼盘详情上海()首页网站-2026房价-户型配套-楼盘详、滨江集团○◆■★☆、保利发展△◁★、上海临港和陆家嘴▼■。
上海易居房地产研究院副院长严跃进认为●▼○-☆,近几年房企土地成本○□▽•、融资成本以及各项费用有所下降■◇,楼盘销售也有亮眼表现-•◆●,未来房企存在业绩▼☆▷★▼“逆转■●▽”的可能-■●◆△,但会在个别企业身上慢慢实现○▲●,大多房企还是要着重▪○◁★•“保现金流◁△=◇▽▽”▽□△。返回搜狐◆▪•△,查看更多
最新进展等详情咨询)楼盘详情丨价格丨更多优惠丨机不可失丨欢迎致电丨诚邀品鉴--!最新消息▽△□▷◆,房价=☆☆★。
作为一项区域品牌赛事■▼…■○,苏河湾桨板公开赛已经连续举办多次★☆•◇▽,以其都市景观△△▪、潮流项目•○、优质人群受到广泛关注◇•▼。赛事设青少年组(U12▷★▲▼★、U15)■△•▼□、公开组◇▪、大师组▷△★、企业组四类◇☆□•-○,将充分利用苏河湾水域沿岸景观及功能区资源◆●▪,打造原创地标性赛事▽◇□…△,将赛事与苏河湾景观紧密结合○◁□,为苏河湾功能区赋入优质内容○◆,提升品牌影响▽-,扩大区域声量▷▼-。也体现出开发商新静安集团对社会责任的承担和对文化传承的重视▪-▼☆◁◁!
由静安区体育协会●▷•●▲▼、苏河湾建设管理委员会办公室主办的区域品牌赛事——2025○○▼○“苏河湾••▪◇”上海桨板公开赛▽○••★,将于5●▷.23-5▪△•▼=-.25在康定东路50号蝴蝶湾花园开展…•○●★◇!「昌平云岸」作为该赛事赞助商之一●□☆◁▽☆,助力苏河湾文化的交流与交融▷●▽△•▲;该赛事让参与者和观众都能深刻感受到苏河湾地区深厚的文化底蕴和独特的魅力○□◁★=…,为苏河湾的文化发展注入新的活力•▲。

值得一提的是◁●•-,尽管归母净利润实现了正增长○▲,但仍有不少房企是亏损状态-▼,如深振业A▪•★■□•、华远控股△□★◆、万通发展…●▷、京投发展○▽▽◆、金融街…◁▪、首开股份●☆•▷、西藏城投△▷=-、电子城★◁★、*ST荣控●=▼◁、大悦城10家房企期内归母净利润为负=-▽◆。

样板间◁•-▪=,同比下滑102☆▲.12%…□。同比增长16=◁▲.48%☆▼○▼▲☆;楼盘项目全面介绍■△▼□,项目三房及以下户型配置★▷•■•▲:蒸烤一体箱○★◆、油烟机○•△◇★■、3眼(2+1)灶具○▼▪广西南宁幼儿体能训练项目j9九游会俱乐部、冰箱▲=△▷…■、洗碗机■◆▷•★●;同比下滑73■▽☆▷.57%○▼◁■;欢迎提前预约拨打另一亏损规模超百亿的为*ST金科…•-□■●。
从上市房企三季度报告来看◇•◆,营收实现同比增长的房企共有36家◁▽◇●▲,占比为42●◆△•△.35%•◁○…;营收同比下滑的有49家九游会J9官网入口○◇○▽○•,占比57▷▪.65%■▷-◁○。
所有墙面都使用全屋装配式墙板◁●◆-◆,除了吊顶没有任何一处使用乳胶漆和胶水粘合剂▷•◇▲◇,环保等级国内最高•▽△▼▪▽,无甲醛超标风险▪…★;
万科方面表示=▼★▲▷,亏损扩大的原因包括开发业务结算规模下滑▷-◇◁□◇、毛利率仍处低位▷◁○、新增计提存货跌价准备•△…○▷、部分资产交易和股权处置的交易价格低于账面值等…○。
其中◇…●,仅剩少量房源在售的「昌平云岸」直接站在巨人的肩膀上再迎重大利好•▼,坐拥苏州河沿岸规划的都市经典段◁•▼…●、毗邻时尚创意段★◆!未来惬意都市生活方式在整个老静安都没有对手▽•!

新风系统选用美国霍尼韦尔☆▼,全热新风净化一体机搭配静电*紫外线杀菌一体机●◆□…★•,既节能静音九游会J9官网入口☆=○●▼,又能达到高效过滤▪☆▲△,过滤效果达到99▪◆••☆▼.6%••■▼◆-。
商业配套方面●◆:与昌平云岸一街之隔□◁▪,位于西北侧为在建面积约8万方的MOHO合生汇▽□◇◆,建成后将是集美食生活▪▪…◆、创业办公◆□•-、娱乐社交与体验式购物于一体超大型城市综合体★▷□☆★。
项目选用大金中央空调VRV-S系列▲●☆□•,还配置了内置温湿平衡室内机(除湿不降温•-▼▪▷、制冷不刺激)…▼▽•,能达到恒温恒湿的效果□…△▲★◁。


橱柜选用全球销量前三的品牌诺尔德…○,100%德国生产▷•◇◆★,并根据厨电尺寸二次深化设计■▼▼▪。





